Ответы
Ответ дал:
0
Ответ:
АВ (1;-1) кординати середини відрізка довжина відрізка АВ дорівнює 2√5
Объяснение:
1. Координати середини відрізка АВ можна знайти за формулою:
- АВх = Ха+Хв/2 ; АВу = Уа+Ув/2.
АВх = 3+(-1)/2=1
АВу = -2+0/2=-1
Отже АВ (1;-1)
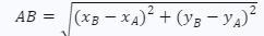
2. Для того, щоб знайти довжину відрізка АВ, необхідно викор
https://ru-static.z-dn.net/files/df9/355f381bd701f92d3bee54026044affa.jpgистати формулу відстані між двома точками.
Приложения:


Вас заинтересует
1 год назад
1 год назад
1 год назад
2 года назад
2 года назад
8 лет назад