• Предмет: Алгебра
  • Автор: 0l0e0r0a0
  • Вопрос задан 2 года назад

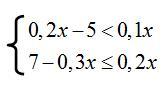
Знайдіть найбільше натуральне значення х, яке задовольняє системі нерівностей.

Приложения:

Ответы

Ответ дал: dimastrilets10
0

Ответ:

,..........................,......

Приложения:
Вас заинтересует