ГОСПОДИ ЛЮДИ. СРОЧНЕЕ НЕ КУДА. ДАЮ 50 БАЛОВ. ПОМОГИТЕ С АЛГЕБРОЙ ПЖЖЭ
Приложения:

Sanya2263:
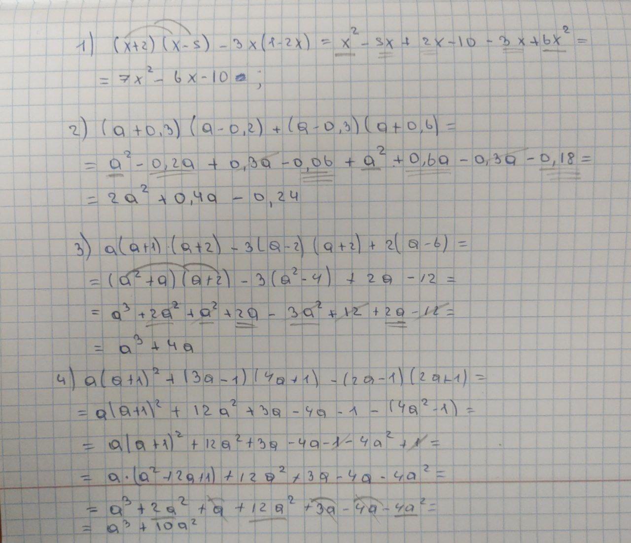
(х+2)(х-5)-3х(1-2х) = х²-5х+2х+10-3х+6х² = 7х²-6х-10
Ответы
Ответ дал:
1
Ответ:
надеюсь правильно.
решила что смогла
Приложения:

Ответ дал:
0
Відповідь:
Пояснення:
Приложения:

Вас заинтересует
1 год назад
1 год назад
1 год назад
2 года назад
2 года назад
8 лет назад