• Предмет: Алгебра
  • Автор: pisanytela
  • Вопрос задан 1 год назад

Знайдіть значення виразу

Приложения:

Ответы

Ответ дал: Alnadya
0

Ответ:

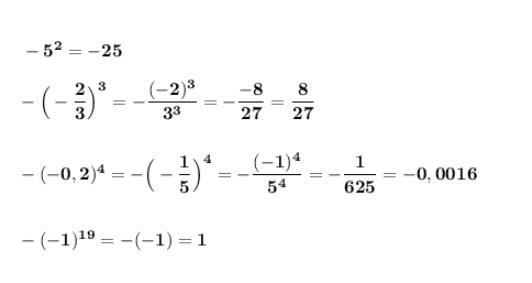
Найти значение выражения .  Применяем свойства степеней .

\bf -5^2=-25\\\\-\Big(-\dfrac{2}{3}\Big)^3=-\dfrac{(-2)^3}{3^3}=-\dfrac{-8}{27}=\dfrac{8}{27}\\\\\\-(-0,2)^4=-\Big(-\dfrac{1}{5}\Big)^4=-\dfrac{(-1)^4}{5^4}=-\dfrac{1}{625}=-0,0016\\\\\\-(-1)^{19}=-(-1)=1  

Приложения:
Вас заинтересует