• Предмет: Алгебра
  • Автор: vladsinger
  • Вопрос задан 2 года назад

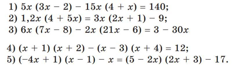
ЗРОБІТЬ СРОЧНО БУДЬЛАСКА ДАЮ 100 БАЛІВ

Приложения:

Ответы

Ответ дал: zar1povabdulaz1z007
1

Solved starting right from the second stage

Приложения:
Вас заинтересует