Ответы
Ответ дал:
1
Ответ:
1/2
Пошаговое объяснение:
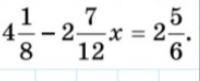
Переводим все дроби в обычный вид:
4 1/8 = 33/8
2 7/12 = 31/12
2 5/6 = 17/6
Итак, имеем
33/8 - 31/12x = 17/6
Умножаем всё на 24:
33*3 - 31*2х = 17*4
99 - 62х = 68
Теперь решаем:
62х = 99-68
62х = 31
х = 31/62
x = 1/2
Получилось х = 1/2
Ответ дал:
1
Ответ:
Пошаговое объяснение:
Приложения:

Аноним:
неправильно
Вас заинтересует
1 год назад
1 год назад
2 года назад
8 лет назад
8 лет назад