• Предмет: Алгебра
  • Автор: markost20110807
  • Вопрос задан 2 года назад

решите пожалуйста дам ​

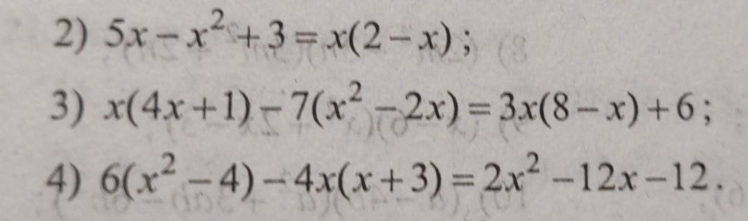
Приложения:

Ответы

Ответ дал: iamwizzard
0

Ответ:

2)5x-x²+3=2x-x²

переписуємо з x в одну сторону,3 в іншу

5x-2x-x²+x²= -3

зводимо подібні доданки

скорочуємо x² та - x²

3x=-3

x= 3 / -3

x = -1

3)4x²+x-7x²+14x = 24x - 3x²+6

знову переписуємо з іксами в одну сторону,а без в іншу

4x²+x-7x²+14x-24x+3x²=6

зводимо подібні доданки

скорочуємо -3x²(4x²-7x²) та 3 x²

15x-24x= 6

-9x=6

x=-6/9

x=-2/3

Вас заинтересует