• Предмет: Математика
  • Автор: milana55051
  • Вопрос задан 1 год назад

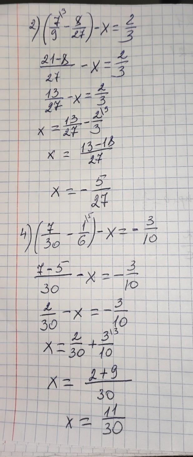
Помогите решить только 2,4ПОЖАЛУЙСТАА!!! Дам 30 баллов.

Приложения:

Ответы

Ответ дал: tetamotatetyamotya
1

Ответ:

..............

Пошаговое объяснение:

..................

Приложения:

milana55051: Спасибоо
tetamotatetyamotya: на здоровье♥️
Вас заинтересует