• Предмет: Математика
  • Автор: Аноним
  • Вопрос задан 2 года назад

СРОЧНО ДОПОМОДІТЬ
Розв'яжіть задачу Перша ділянка лісу має площу 15 га, друга - у 2 1/3 раза більшу, ніж перша, а третя - в 1 1/7 раза більшу, ніж друга. Знайдіть площу третьої ділянки.

Приложения:

Ответы

Ответ дал: BenthSpet
0

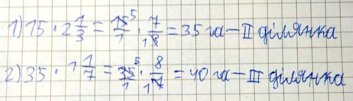
Ответ:Відповідь на фото, якщо допоміг 5 зірочок будь ласка

Пошаговое объяснение:

Приложения:
Ответ дал: iramazurk
0

Ответ:

40 га

Пошаговое объяснение:

1) 15 * 2 1/3 = 15 * 7/3 = 5 * 7/1 = 35/1 = 35 (га) - площадь 2 участка леса

2) 35 * 1 1/7 = 35 * 8/7 = 5 * 8/1 = 40/1 = 40 (га) - площадь 3 участка леса

Вас заинтересует