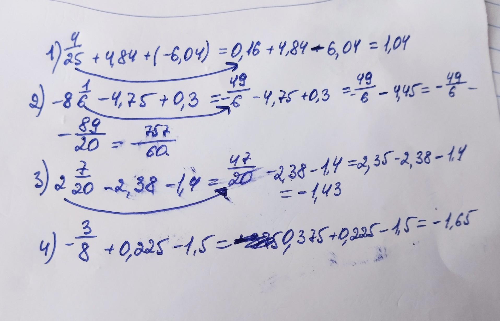
531. Выполните действие: 1) ⁄⁄ + 4,84 + (− 6,04); 25 7 20 3) 2 2,38 - 1,4; -8/1 − 4,75 + 0,3; 2)-8 3 4) −³ + 0,225 – 1,5. 8
Приложения:

Ответы
Ответ дал:
2
смотри решение подано на фото...
Приложения:

Вас заинтересует
1 год назад
1 год назад
1 год назад
2 года назад
8 лет назад
8 лет назад