Ответы
Ответ дал:
1
Ответ:
1) 5/8 больше 3/4
2) 2/3 меньше 7/9
3) 1/16 больше 7/8
5) 7/12 больше 8/9
6) 2/9 меньше 1/10
7) 5/24 болше 3/16
Объяснение:
сори што славанами написал больше и меньше но знака я ненашол
rahlenko007:
неправильно
Ответ дал:
1
Объяснение:
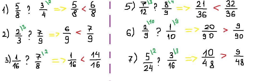
Чтобы сравнить две дроби, нужно привести их к общему знаменателю
на фото
4 и 8 не видно
Приложения:

Вас заинтересует
1 год назад
1 год назад
1 год назад
1 год назад
2 года назад
8 лет назад