Ответы
Ответ дал:
0
Ответ:
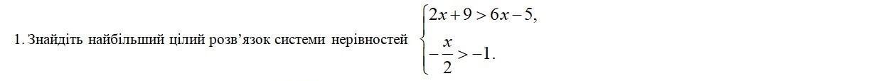
наименьшее целое решение это число 1
Объяснение:
полным решением системы яв-ся промежуток,где одновременно пересекаются две штриховки.(х∈ (-∞;2).Но т.к неравенство строгое,то точка 2 не принадлежит промежутку,т.е она как бы "выколота",поэтому наименьшее целое решение это число 1
Приложения:

Вас заинтересует
1 год назад
1 год назад
1 год назад
8 лет назад