• Предмет: Алгебра
  • Автор: denmed1996
  • Вопрос задан 2 года назад

ОоОчень срочноооооооооооооооооооооооо

Приложения:

Ответы

Ответ дал: dzecinaanna49
0

........................

Приложения:
Ответ дал: Пеппер
1

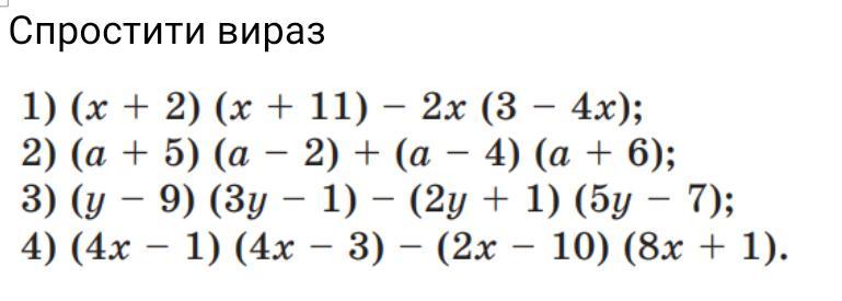
1) (х+2)(х+11)-2х(3-4х)=х²+2х+11х+22-6х+8х²=9х²+7х+22

2) (а+5)(а-2)+(а-4)(а+6)=а²+5а-2а-10+а²-4а+6а-24=2а²+5а-34.

3) (у-9)(3у-1)-(2у+1)(5у-7)=3у²-27у-у+9-2у-1-10у²-5у+14у+7=-7у²-19у+6

4) (4х-1)(4х-3)-(2х-10)(8х+1)=16х²-4х-12х+3-16х²+80х-2х+10=62х+13

Вас заинтересует