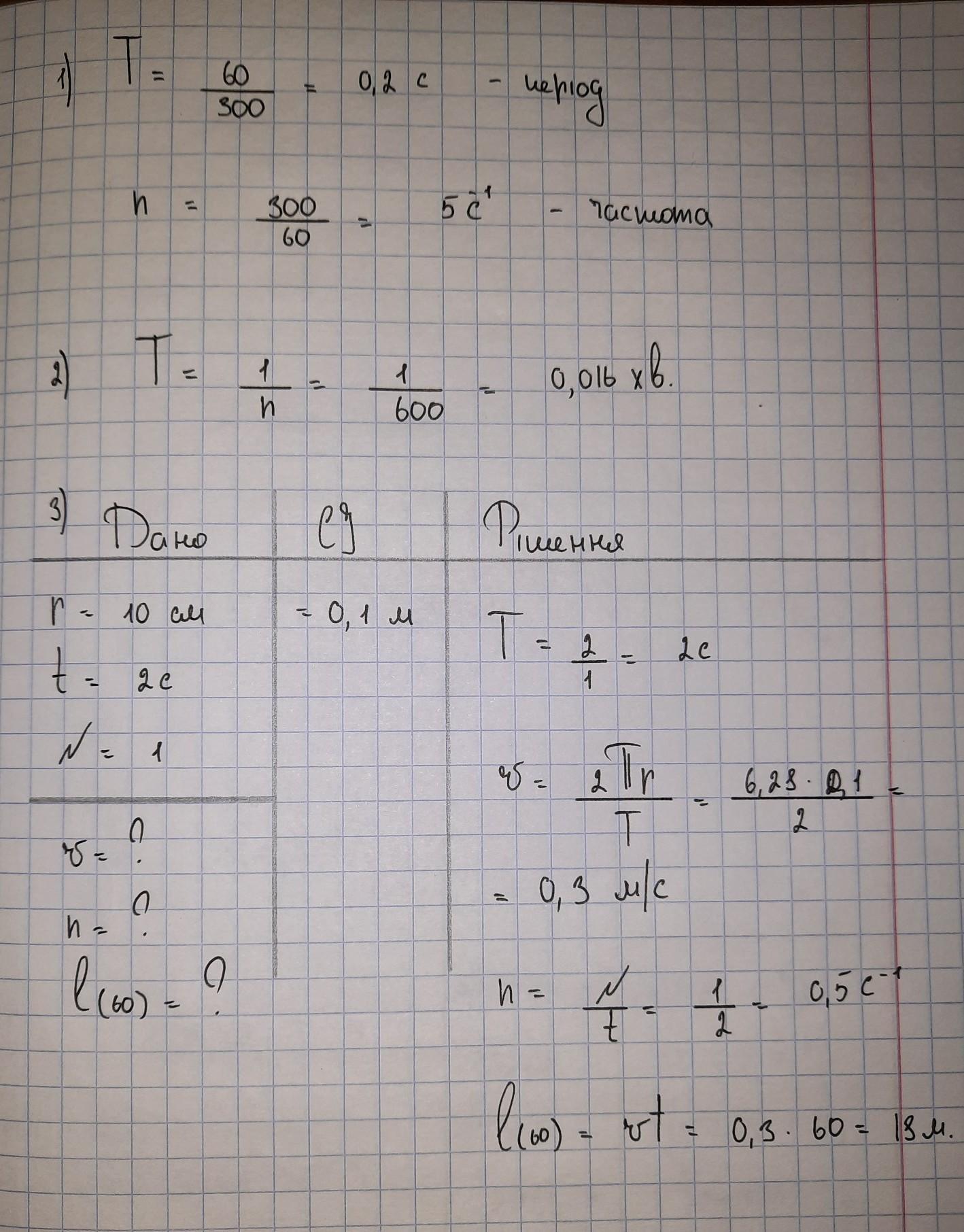
1.Знайти період та частоту обертання вентилятора, який за 1хв здійснює 300 обертів.
2.Частота обертання тіла 600 об/хв. Знайти період його обертання.
3. Матеріальна точка ріномірно рухається по колу радіусом 10 см та здійснює один оберт за 2 с. Знайти її швидкість, частоту обертання та шлях який вона подолає за 1 хв.
СРОЧНО ДАЮ 90 БАЛЛОВ
Ответы
Ответ дал:
1
ОТВЕТ:
вот, решала не я, но на самом деле уже тоже проходим эту тему по физике, надеюсь там правильный ответ, по крайне мере вижу что да.
удачи в уроках!
Приложения:


nastavasnenko:
спасибо большое
Ответ дал:
1
Объяснение:
я з точністю на 100 не впевнена, але має бути так
Приложения:

Вас заинтересует
1 год назад
1 год назад
1 год назад
2 года назад
2 года назад
8 лет назад