• Предмет: Алгебра
  • Автор: denis191299
  • Вопрос задан 10 лет назад

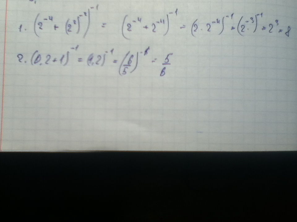
а)(2 в минус 4 степени  + 4 в минус 2 степени )в минус 1 степени.

б)(0,2+1)в минус 1 степени.
С решением!Спасибо всем.

Ответы

Ответ дал: dotfinal
0
Решение на фото, поможет
Приложения:
Ответ дал: denis191299
0
Спасибо.Помог.
Вас заинтересует