Ответы
Ответ дал:
0
Ответ: по идее так
Объяснение:
Приложения:

anagrisanova12:
тут не вірно, бо слон рухався не рівномірно
Ответ дал:
0
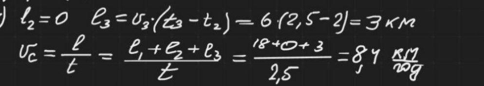
Ответ:
8,4 км/год
Объяснение:
Vсер =
Вас заинтересует
1 год назад
1 год назад
1 год назад
1 год назад
2 года назад
8 лет назад
8 лет назад