• Предмет: Физика
  • Автор: Крокозябраа
  • Вопрос задан 10 лет назад

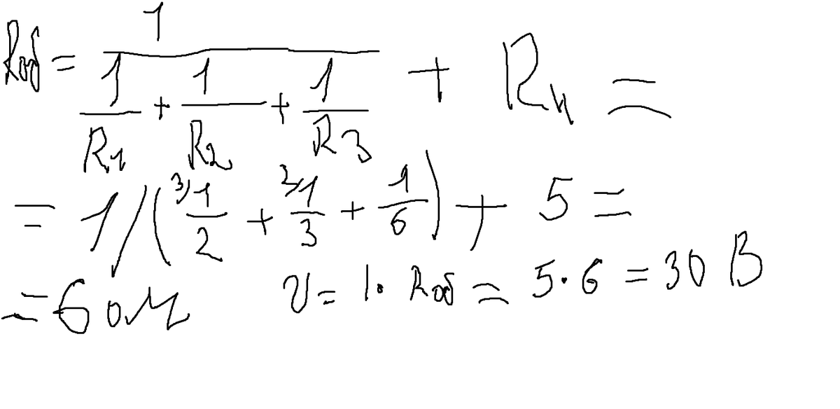
используя схему электрической цепи,изображенной на рисунке определите общеенапряжение на участке АСесли амперметр показывает 5Аа R1=2 Ом,R2=3 Ом,R3=6Ом,R4=5 Ом.

Приложения:

Ответы

Ответ дал: blad3518
0
Ну вот так то! юююююююююююююююююююю
Приложения:
Ответ дал: bs99
0
)гладиолус
Вас заинтересует