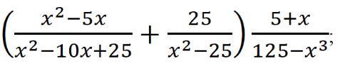
ДАЮ 100 БАЛЛОВ ПОМОГИТЕ ПЖ
Приложения:

Аноним:
скину розв’язок в інст @mathematic_89
Ответы
Ответ дал:
2
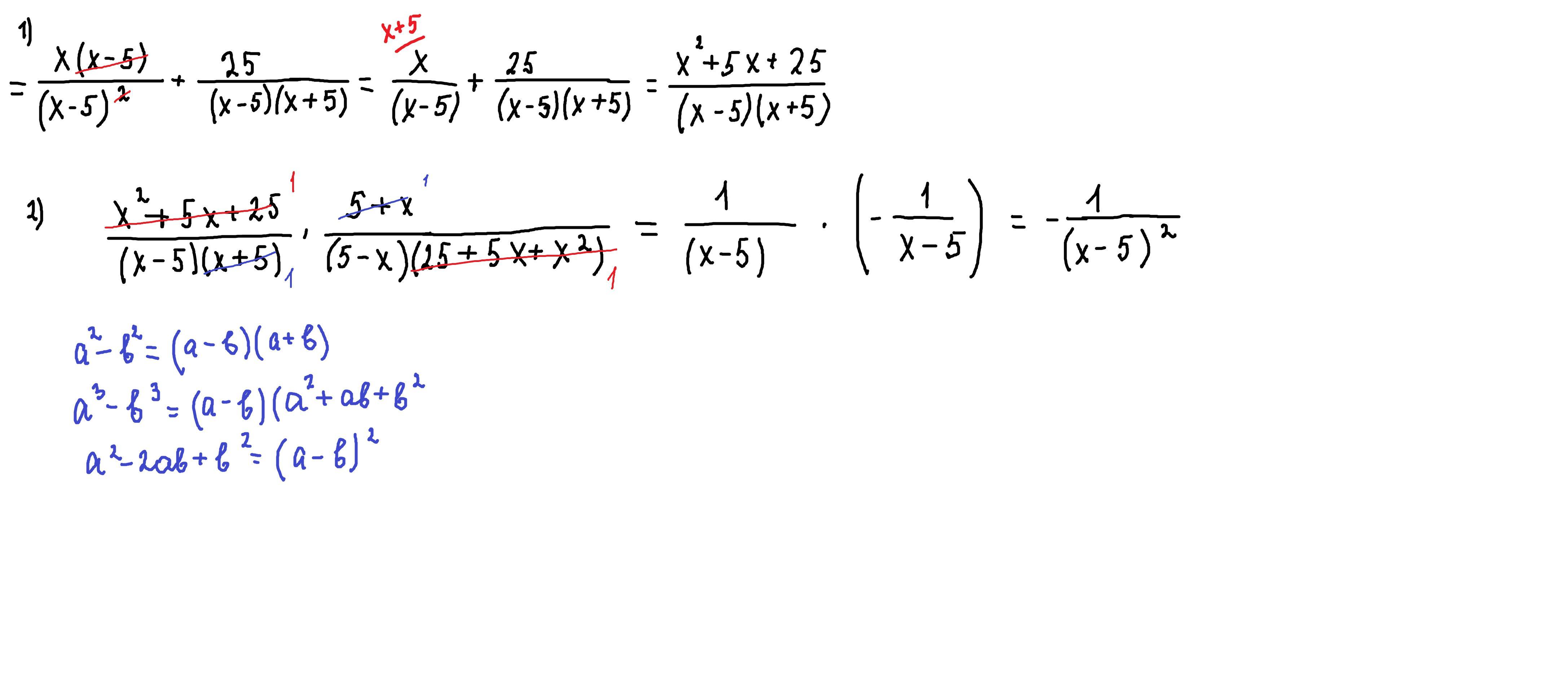
Ответ:
- 1/(х-5)²
Пошаговое объяснение:
решение по действиям и формулы к нему внизу
Приложения:

Вас заинтересует
1 год назад
1 год назад
1 год назад
1 год назад
2 года назад