Ответы
Ответ дал:
0
Ответ:
Объяснение:
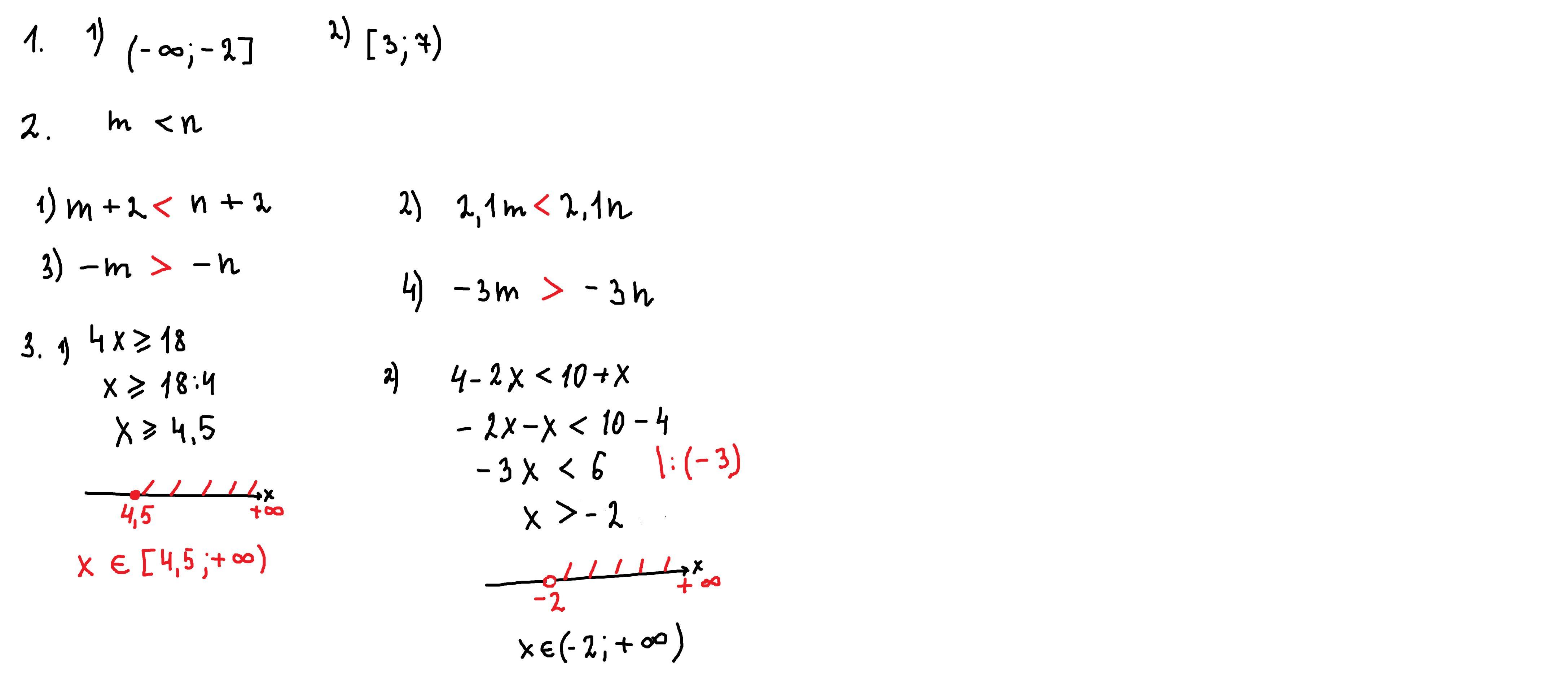
если точка закрашена,то неравенство нестрогое( ≤ или ≥)
если точка не закрашена,то неравенство строгое(< или >)
при умножении или делении на отрицательное число знак неравенства меняется на противоположный
Приложения:

Вас заинтересует
1 год назад
1 год назад
1 год назад
1 год назад
2 года назад
2 года назад
8 лет назад
8 лет назад