• Предмет: Математика
  • Автор: Truck77
  • Вопрос задан 10 лет назад

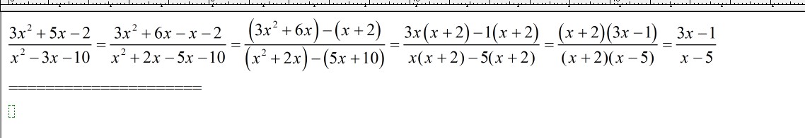
Cокращение дроби:   3x^2+5x-2/x^2-3x-10 (полностью пропишите ход решения и решите) пожалуйста)))

Ответы

Ответ дал: triolana
0
==========================================
Приложения:
Вас заинтересует