• Предмет: Математика
  • Автор: dasha229815
  • Вопрос задан 1 год назад

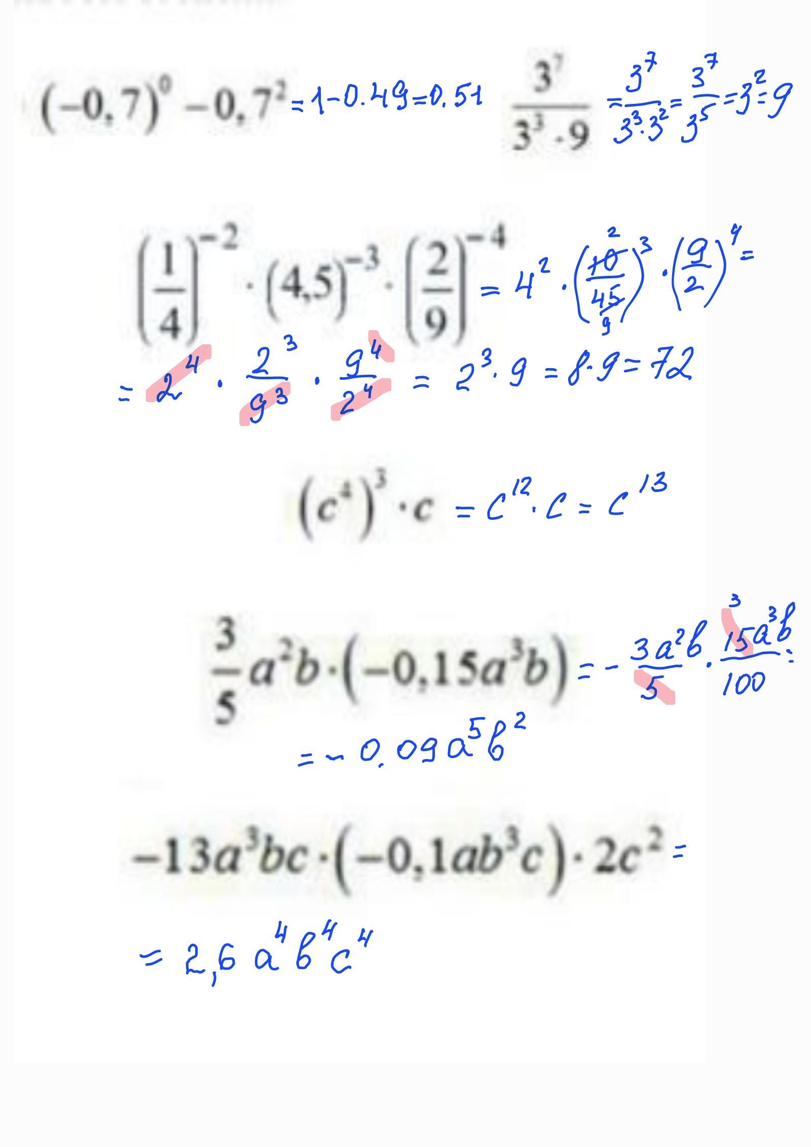
помогите срочно пожалуйста

Приложения:

Ответы

Ответ дал: olgaua64
1

Відповідь:

Покрокове пояснення:

Приложения:
Вас заинтересует