СРОЧНО!!!
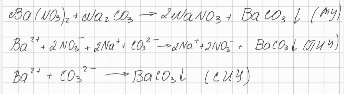
Скласти йонно-молекулярне рівняння реакції між барій нітратом і натрій карбонатом у розчині
Умови перебігу йонно-молекулярних рівнянь:
1) утворюється малодисоційована речовина, наприклад, вода;
2) утворюється газ;
3) утворюється нерозчинна або малорозчинна речовина (осад).
Ответы
Ответ дал:
1
Ответ:
рішення внизу
Объяснение:
Приложения:

Вас заинтересует
1 год назад
1 год назад
1 год назад
2 года назад
2 года назад
8 лет назад