• Предмет: Химия
  • Автор: christina2510
  • Вопрос задан 2 года назад

СРОЧНО
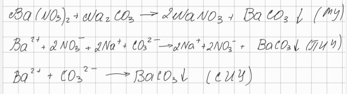
Скласти йонно-молекулярне рівняння реакції між барій нітратом і натрій карбонатом у розчині
Умови перебігу йонно-молекулярних рівнянь:
1) утворюється малодисоційована речовина, наприклад, вода;
2) утворюється газ;
3) утворюється нерозчинна або малорозчинна речовина (осад).

Ответы

Ответ дал: Bumblebee10
1

Ответ:

Рішення внизу

Приложения:
Вас заинтересует