Пожалуйста, срочно. Отдаю все баллы
Написать молекулярные и ионно-молекулярные уравнения реакций:
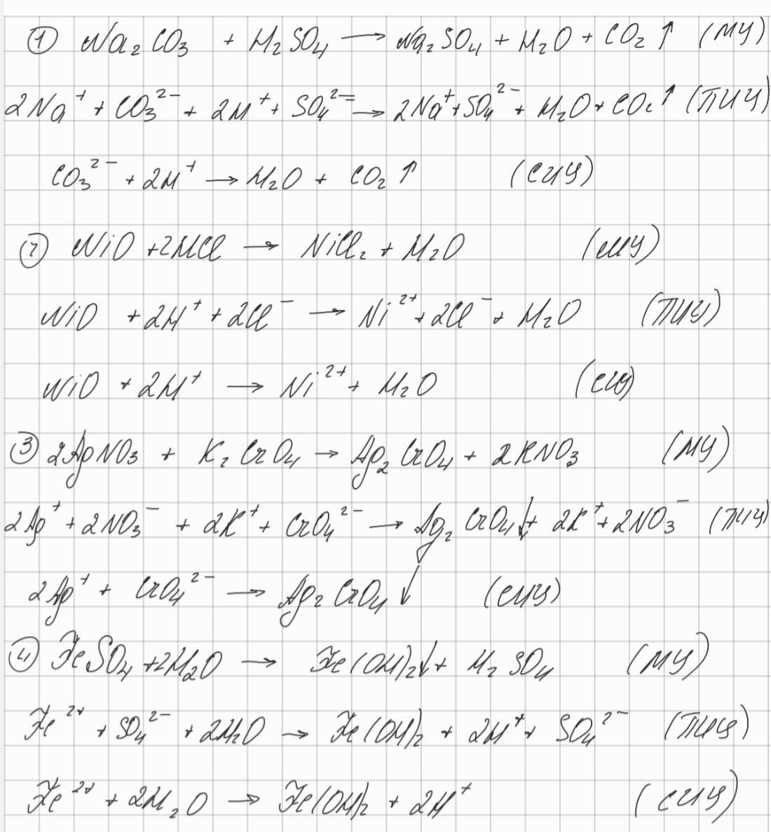
1. Na2CO3 + H2SO4 —
2. NiO + HCl —
3. AgNO3 + K2CrO4 —
4. FeSO4 + H2O —
Ответы
Ответ дал:
1
Ответ: надеюсь, помогла
Объяснение:
Приложения:

Вас заинтересует
1 год назад
1 год назад
1 год назад
1 год назад
2 года назад
2 года назад
8 лет назад