Ответы
Ответ дал:
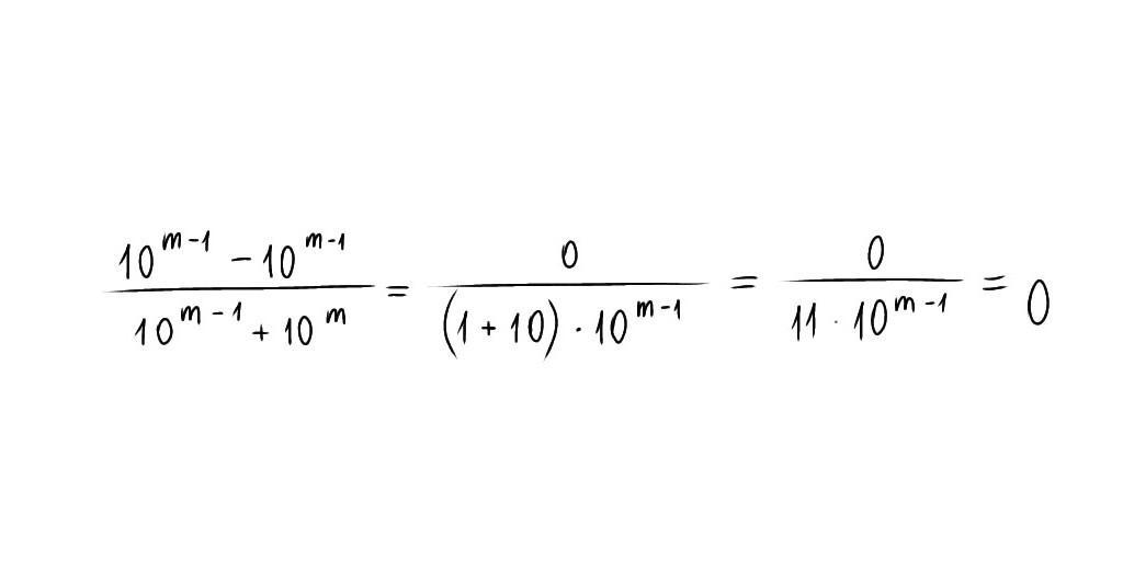
0
Ответ:
0.....................
Приложения:

Ответ дал:
0
………………………………………………………..
Приложения:

Вас заинтересует
1 год назад
1 год назад
2 года назад
8 лет назад