Допоможіть будь ласонька 7 клас!
Прошу по можливості від руки!
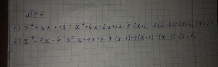
1. Розкладіть на множники тричлени:
1) x² + 8x + 12;
2) x2 – 5x +4
2. Доведіть, що значення виразу:
1) 99-4-275 кратне 23;
2) 86-5-47 кратне 11;
Ответы
Ответ дал:
2
Ответь::::::::::::::::::::номер 1
Приложения:

valentinaabadgi17118:
rayanaemilbekova8 а второй?
Вас заинтересует
1 год назад
1 год назад
1 год назад
1 год назад
2 года назад
8 лет назад
8 лет назад