• Предмет: Алгебра
  • Автор: moiseenkoila92
  • Вопрос задан 2 года назад

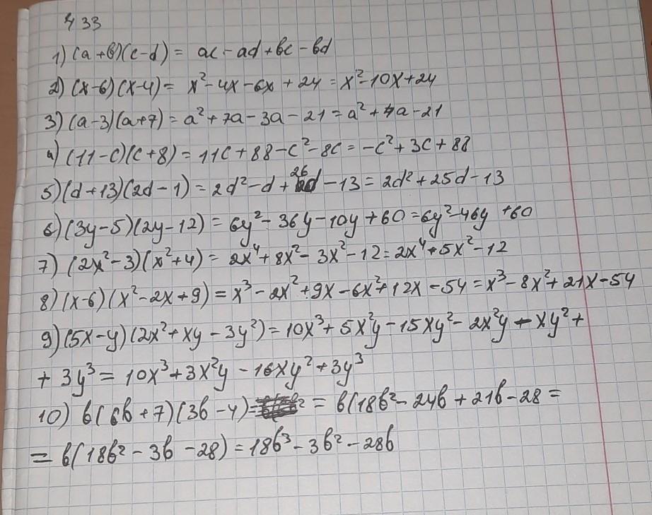
Алгебра 7 клас допоможіть

Приложения:

Ответы

Ответ дал: vikam267
2

Объяснение:

на фотоооо

відмітьте, як кращу відповідь, дякую!

Приложения:

moiseenkoila92: дякую<3
vikam267: будь ласка)
vikam267: буду рада , якщо позначите як кращу відповідь , дякую!
Вас заинтересует