• Предмет: Математика
  • Автор: kntr777
  • Вопрос задан 2 года назад

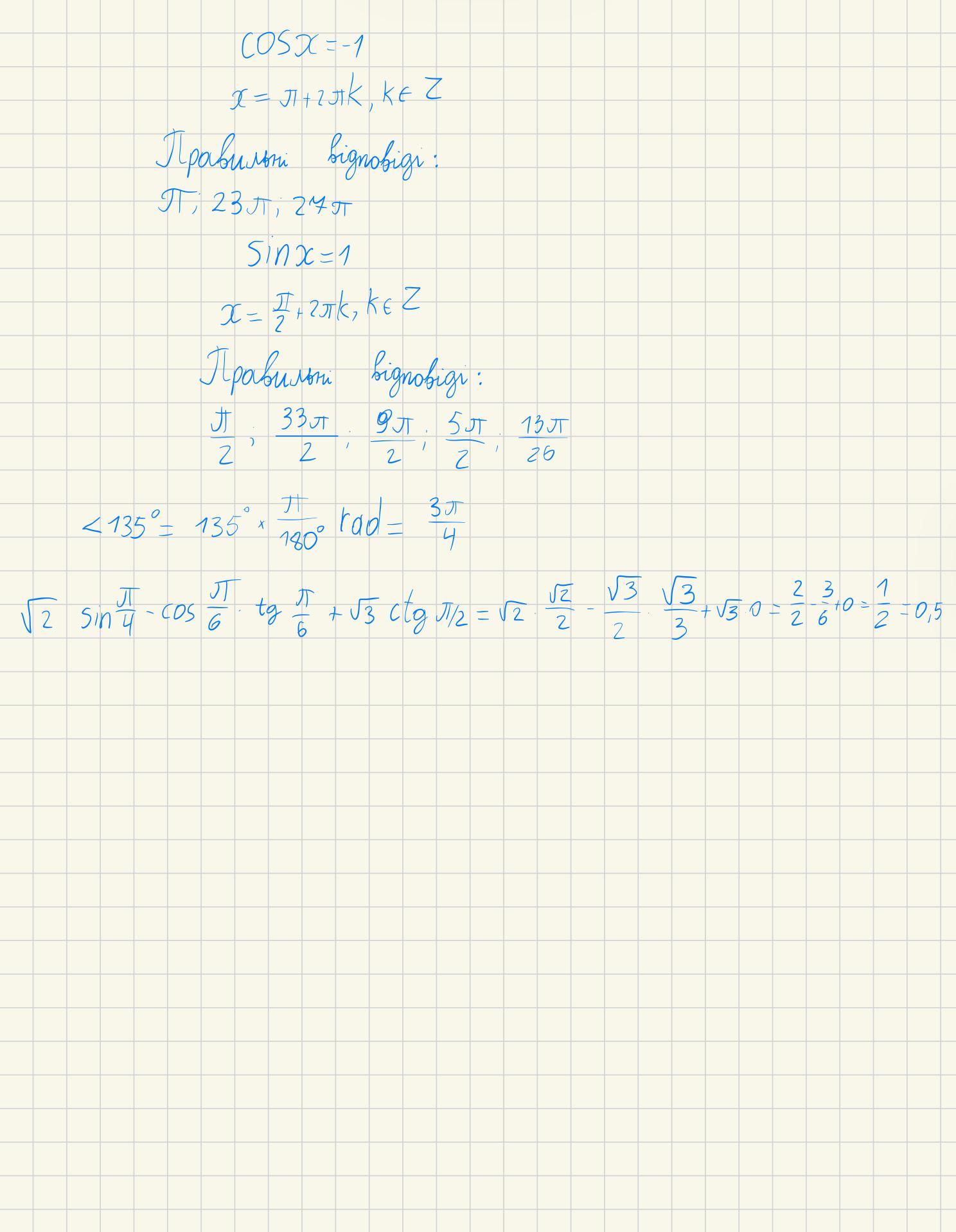
Завдання на фото. Допоможіть хоча б із чимось, будь ласка

Приложения:

Ответы

Ответ дал: gagsgshshsh265
1

Відповідь:

Відповідь у фото

Покрокове пояснення:

Приложения:
Вас заинтересует