• Предмет: Алгебра
  • Автор: lesiafilimonova
  • Вопрос задан 1 год назад

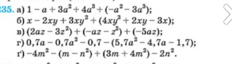
Спростіть вираз (235-237): 235. a) 1 - a +3a²+4a³+(-a² - 3a'); 6) x-2xy + 3xу² +(4xy³ + 2xy - 3x); в) (2az - 3z²) + (-az - 2²) + (-5аг); г) 0,7а-0,7a² - 0,7-(5,7a² - 4,7a-1,7); r) -4m² - (m - n²) + (3m + 4m²) - 2n².​

Приложения:

tatsach: Сделайте фото задания
lesiafilimonova: зробила

Ответы

Ответ дал: tatsach
1

Ответ:

Объяснение:

а)=1-а+2а²+а³

б)=-2х+3ху²+4ху³

в)=-4az-4z²

г)=0,7а-0,7а²-0,7-5,7а²+4,7а+

1,7=5,4а-6,4а²+1

д)=-4m²-m+n²+3m+4m²-2n²=

2m-n²

Вас заинтересует