АЛГЕБРА! Только 1 и 3. СРОЧНО!
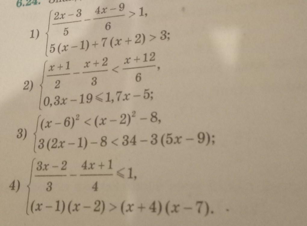
ЗАДАНИЕ : Знайдіть множину розв'язків системи нерівностей
Приложения:

Ответы
Ответ дал:
0
Ответ:
Объяснение:
Вас заинтересует
1 год назад
1 год назад
1 год назад
1 год назад
2 года назад
2 года назад