• Предмет: Алгебра
  • Автор: Pollol2
  • Вопрос задан 2 года назад

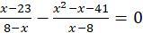
Розв’яжіть рівняння:

Приложения:

Ответы

Ответ дал: maxmihajlil
0

Ответ:x=-8

Объяснение:

Ответ дал: baland0p906
1

Ответ:

x=-8

Объяснение:

Сподіваюся допоміг

Приложения:
Вас заинтересует