• Предмет: Алгебра
  • Автор: kamillazam09
  • Вопрос задан 1 год назад

Помогите пожалуйста очень срочно!!

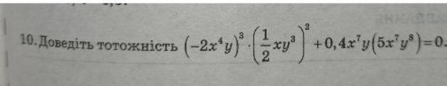
Приложения:

Ответы

Ответ дал: aminamikitenko1
1

Объяснение:

все на фото

////////////

Приложения:
Вас заинтересует