• Предмет: Алгебра
  • Автор: lizaparsina043
  • Вопрос задан 1 год назад

Допоможіть будь ласка мене залишилось 10 хвилин дам 25 балів ​

Приложения:

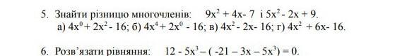
Ответы

Ответ дал: denishasibara
0
4x0 + 2x2 - 16 = 4 + 2x2 - 16 = -12 + 2x2
Вас заинтересует