Ответы
                                            Ответ дал: 
                                                                                    
                                        
                                            
                                                
                                                
                                                
                                                    1
                                                
                                            
                                        
                                    
                                        СПОДІВАЮСЬ що вірно 
                                    
                                                Приложения:
                    
                            
                    stanevskaaliza:
                    спасибо
                
            
                    
                    Нема за що)❤️❤️
                
            
                                            Ответ дал: 
                                                                                    
                                        
                                            
                                                
                                                
                                                
                                                    1
                                                
                                            
                                        
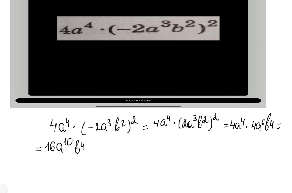
                                    Ответ:
16a^10b⁴
Объяснение:
4a⁴•(-2a³b²)²= 4a⁴•(2a³b²)=4a⁴•4a^6b⁴= 16a^10b⁴
(Надеюсь понятно)
Вас заинтересует
                
                        1 год назад
                    
                
                        1 год назад
                    
                
                        2 года назад
                    
                
                        2 года назад