• Предмет: Алгебра
  • Автор: nastabezkorovajna08
  • Вопрос задан 1 год назад

БУДЬ ЛАСКА ДОПОМОЖІТЬ ДАЮ 70 БАЛЛОВ. потрібно розкласти на множники ax²+ay-cy+bx²-cx²+by

Ответы

Ответ дал: aarr04594
1

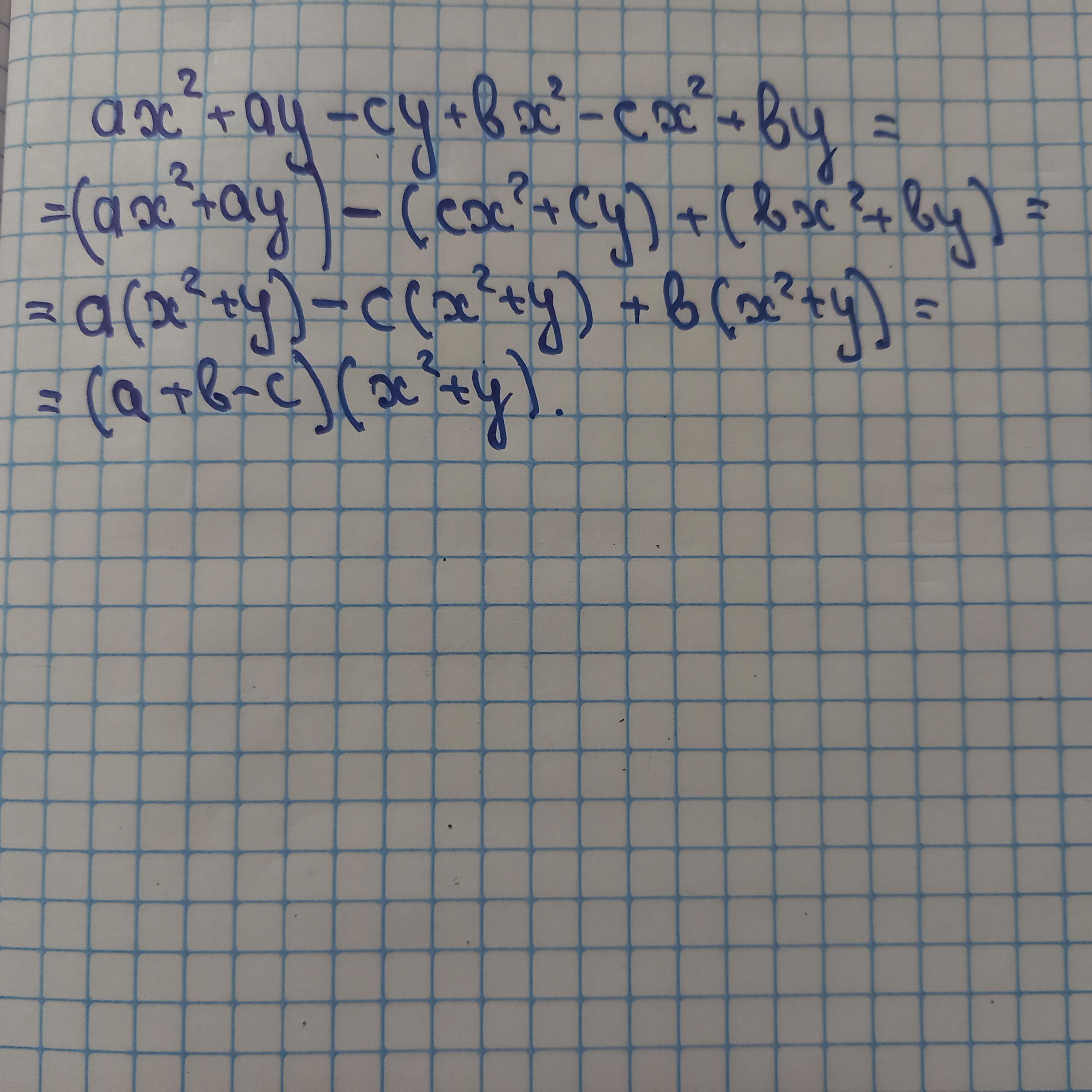
Відповідь:

Пояснення:

розв'язання завдання додаю

Приложения:
Ответ дал: математик2011
1

Ответ:

(a+b-c)(x²+у)

Объяснение:

ax²+ay-cy+bx²-cx²+by = ax²+bx²-cx²+ay+by-cy =  x²(a+b-c)+у(a+b-c) =
= (a+b-c)(x²+у)

Вас заинтересует