Ответы
Ответ дал:
1
Ответ:
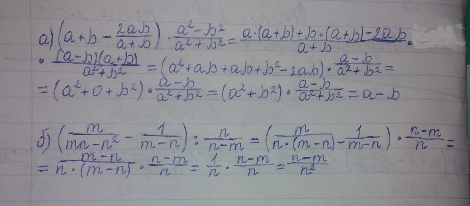
а) а-b
б) n-m/n²
(Надеюсь понятно)
Приложения:

bajracnyjzahar:
Дякую
Вас заинтересует
1 год назад
1 год назад
1 год назад
2 года назад
2 года назад
8 лет назад
8 лет назад