• Предмет: Математика
  • Автор: vitajozefik
  • Вопрос задан 1 год назад

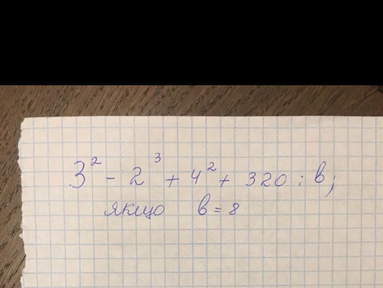
Будь ласка срочно допоможіть з завданням

Приложения:

Ответы

Ответ дал: denishasibara
1
9-8+16+320:40
= 17 + 40 = 57

dianakycher2010: 57
Ответ дал: математик2011
1

Ответ:

57

Пошаговое объяснение:

3^{2} -2^{3} +4^{2} +320:8 = 9-8+16+40=57

Вас заинтересует