• Предмет: Математика
  • Автор: oguresc
  • Вопрос задан 2 года назад

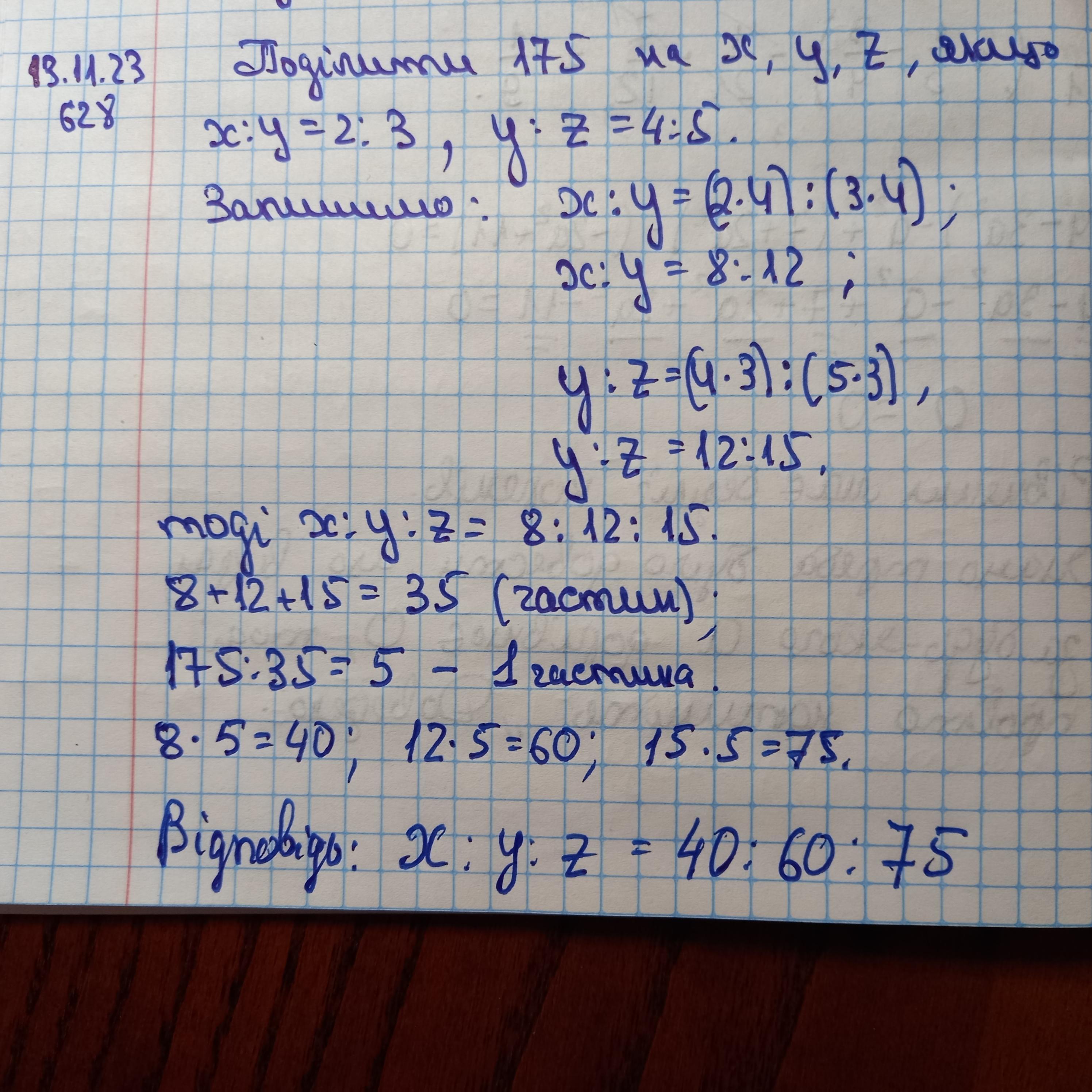
поділи число 175 на три частини х у z так щоб х:у=2:3,у:z=4:5 срочно дам сто баллов!!!!​

Ответы

Ответ дал: aarr04594
4

Відповідь: 40, 60, 75.

Покрокове пояснення:

розв'язання завдання додаю.

Для "у" треба знайти кратне до 4 і 3.

Приложения:

9429013: Надо как в иетеллекте украиньі.
Вас заинтересует