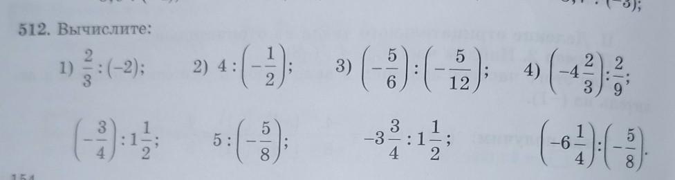
512. Вычислите: 1) 3:(-2); 3 4 4:( 2 ): 2) 4: 5: 3) 6 5 12 1 3 -3-:1 ; 4 2 4) | -4 2 3 9
Приложения:

Ответы
Ответ дал:
28
Ответ:
Пошаговое объяснение:
Приложения:

asmirazaparova9:
везде
Вас заинтересует
1 год назад
1 год назад
1 год назад
1 год назад
2 года назад
2 года назад
8 лет назад