• Предмет: Математика
  • Автор: kolyazvonenko8
  • Вопрос задан 1 год назад

Срочно надо, помогите пожалуйста, дам 100 баллов

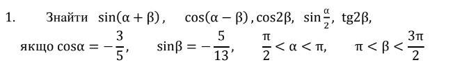
Приложения:

Ответы

Ответ дал: sasabrus72
0

Ответ:

скачай приложение фотмач там все есть

Вас заинтересует