• Предмет: Математика
  • Автор: vadym5487
  • Вопрос задан 1 год назад

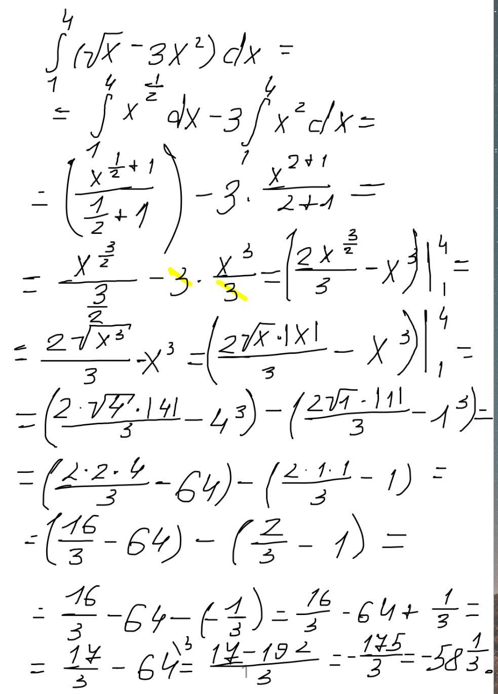
срочно обсислити інтерграл

Приложения:

Ответы

Ответ дал: fizikyadershik68
0

Ответ:

Пошаговое объяснение:

Здравствуйте, спасибо за задачу. Решение на фотографии.

С уважением, Владимир.

Приложения:
Вас заинтересует