Ответы
Ответ дал:
0
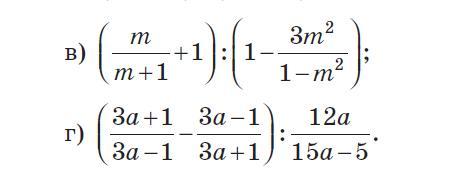
Ответ:
Объяснение:
Если что-то не понятно спрашивайте
Приложения:

atremmalinovkarp13:
Можешь мне пример решить тоже 100 балов даю чекни профиль а то сам чот это не умею тему не понел
Ответ дал:
0
Ответ:
решил по системе сокращения
Приложения:

Вас заинтересует
1 год назад
1 год назад
2 года назад
2 года назад
8 лет назад