• Предмет: Математика
  • Автор: oleksandrabelikova7
  • Вопрос задан 1 год назад

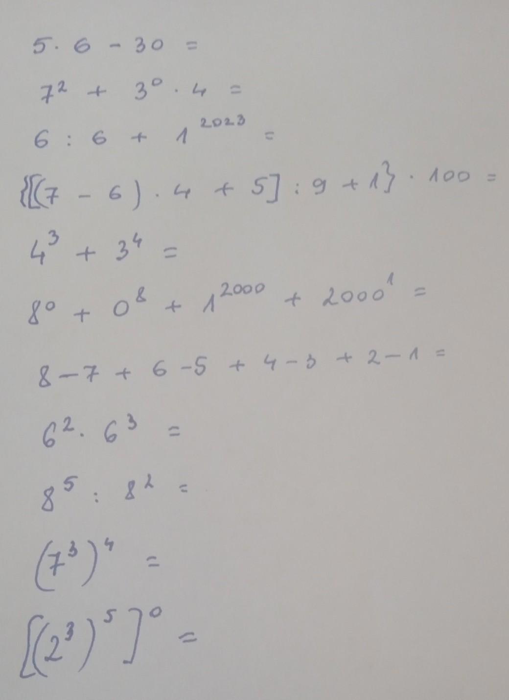
помогите,примера за 6 класс в румынской школе...
Дам 20 балов ​

Приложения:

Ответы

Ответ дал: Nassochek
0

1. 0

2. 200

3. 2

4. 200

5. 145

6. 2002

7. 4

8. 252

8. 512

10. 823543

11. 1


ReginaMaria: 2) 200?
Nassochek: ой, чет запуталась и первым сделала сочетание, 53
Вас заинтересует