• Предмет: Алгебра
  • Автор: Error35
  • Вопрос задан 1 год назад

Срочно. Даю 50 балов

Приложения:

Ответы

Ответ дал: frendzona94
0

Ответ:

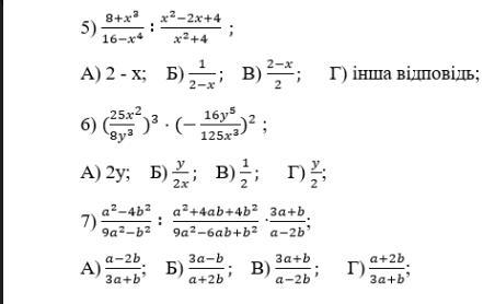
5). Б

6).В

7).Б

надіюсь помогла

Вас заинтересует