• Предмет: Алгебра
  • Автор: liel65fb
  • Вопрос задан 1 год назад

СРОЧНО БУДЬ ЛАСКА!!!!!!!!!

Приложения:

Ответы

Ответ дал: parus77
0

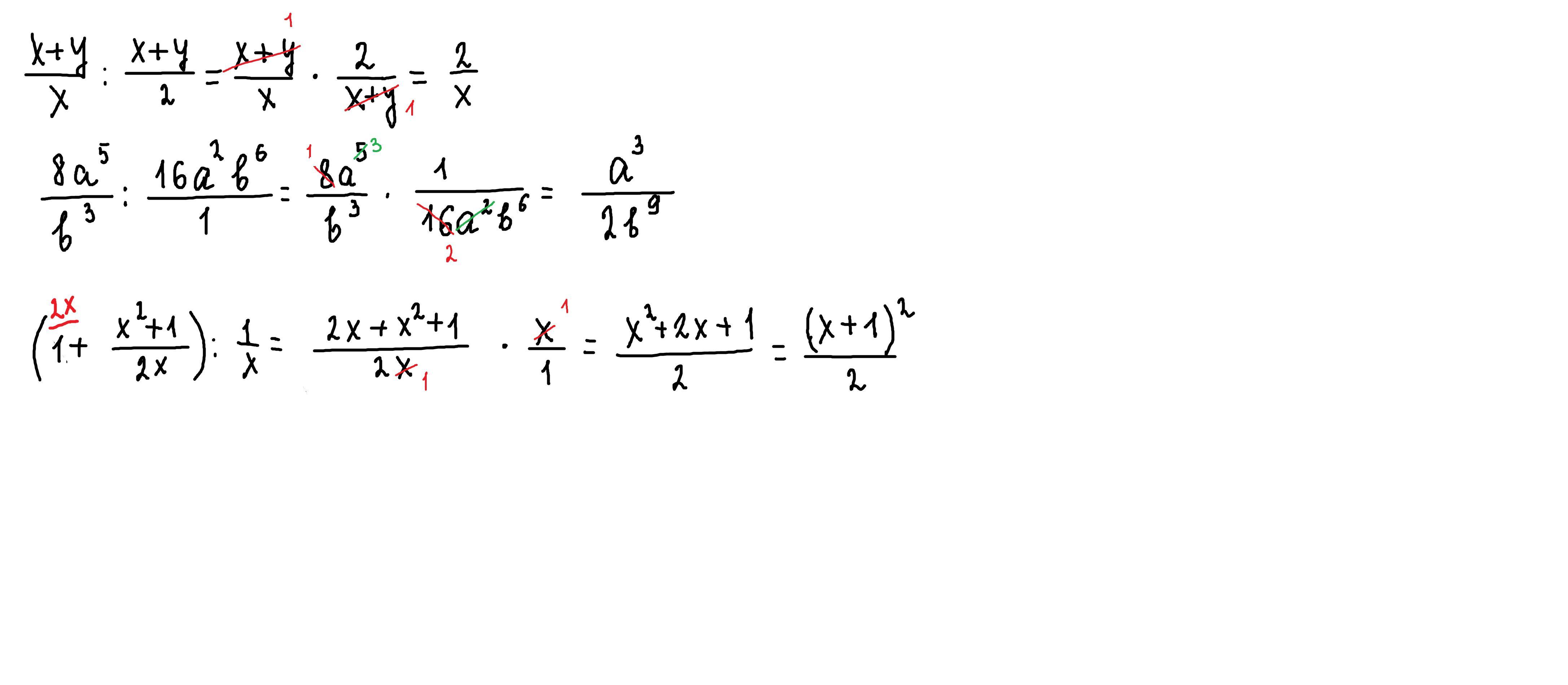
Ответ:

Объяснение:

решение внизу

Приложения:
Вас заинтересует