Ответы
Ответ дал:
1
Ответ:
Объяснение:
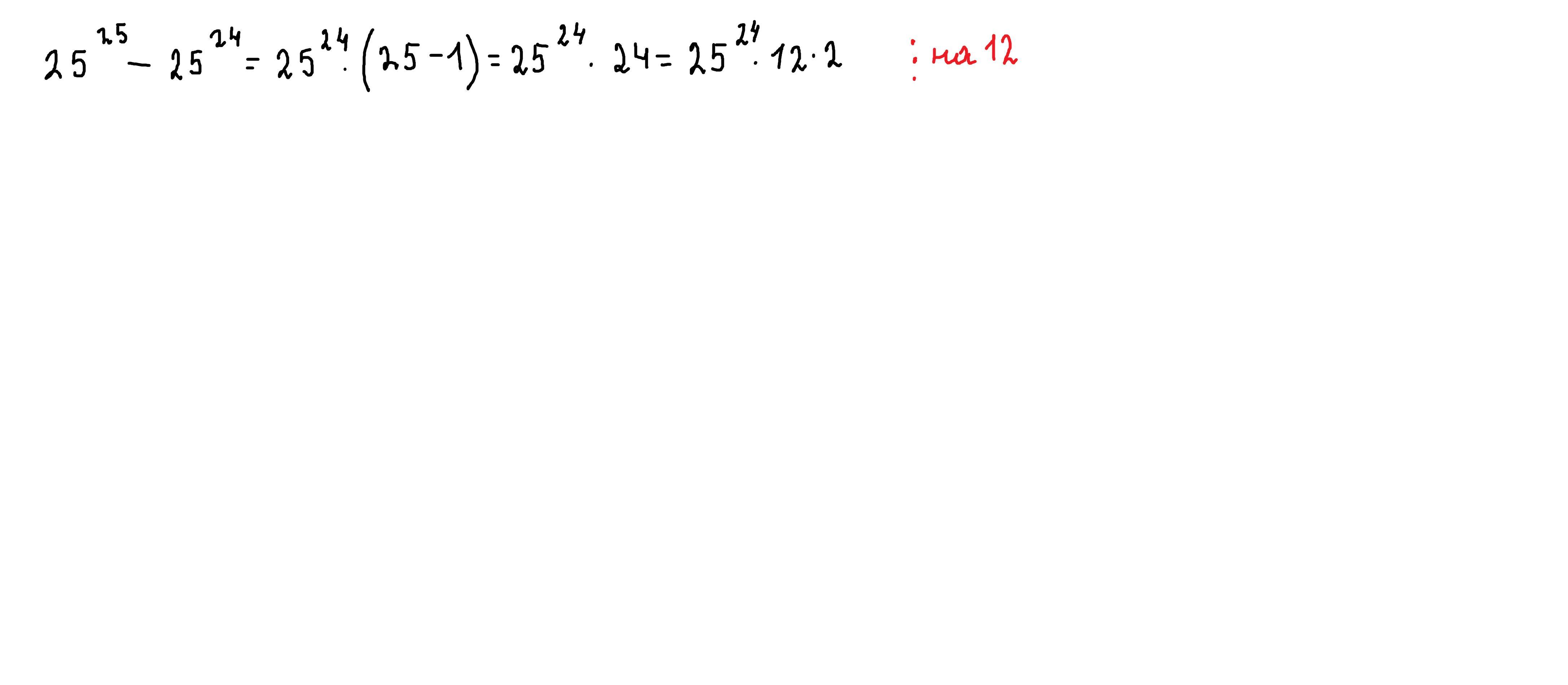
кратно 12,т.е делится на 12
вынесем за скобки общий множитель,вычислим значение выражения в скобках,получим один из множителей равен 12,значит и все выражение кратно 12
Приложения:

Вас заинтересует
1 год назад
1 год назад
1 год назад
2 года назад
8 лет назад