• Предмет: Алгебра
  • Автор: Аноним
  • Вопрос задан 2 года назад

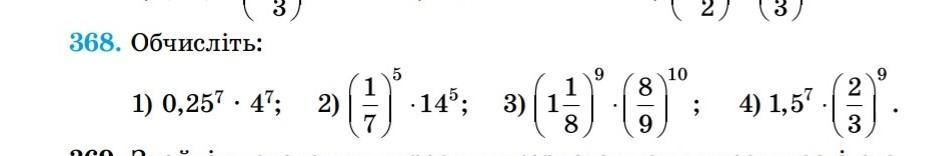
Допоможіть Зробити Впрау На Фото Только НОРМАЛЬНИЙ ОТВЕТ даю 57 балів Срочно !!​

Приложения:

Ответы

Ответ дал: frendzona94
1

Ответ:

1). 1

2).32

3).8/9

4).4/9

/= дробова риска

Ответ дал: dashakhariv14
0

Ответ:

1)0,25^7•4^7=(0,25•4)^7=1^7= 1

2)(1/7)^5•14^5=(1/7 • 14)^5= 2^5

3)(1 1/8)^9 •(8/9)= 8/9 • 1 = 8/9

4)1,5^7 •(2/3)^9 = (3/2)^7 • (3/2)^-9 = (2/3)^2= 4/9

Объяснение:

Вас заинтересует