• Предмет: Алгебра
  • Автор: Qwerty1892
  • Вопрос задан 2 года назад

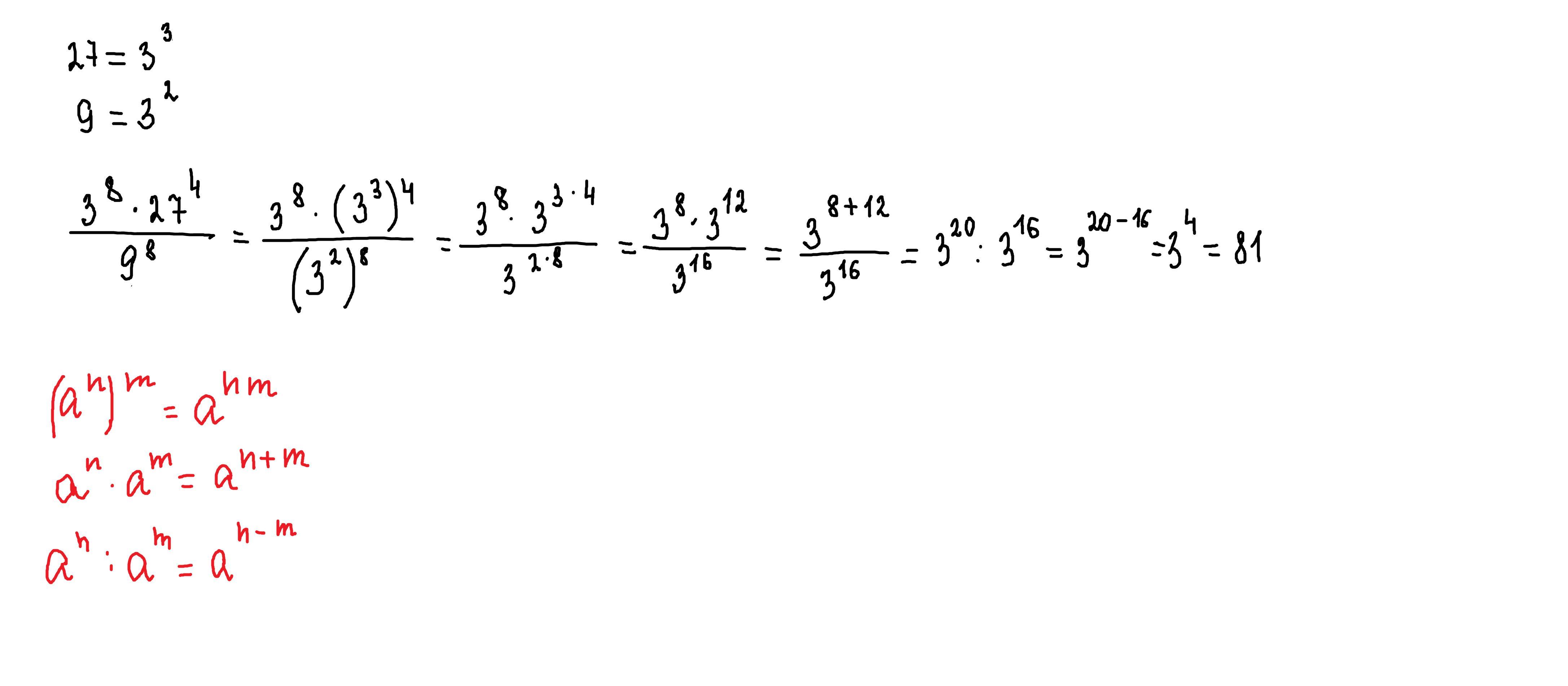
Обчисліть,використовуючи властивості степеня з натуральними показником 3⁸ × 27⁴/9⁸

Ответы

Ответ дал: parus77
0

Ответ:

81

Объяснение:

решение и формулы внизу

Приложения:
Вас заинтересует