• Предмет: Алгебра
  • Автор: p7946048
  • Вопрос задан 1 год назад

Допоможіть будь-ласка! Я вже спати хочу.

можете розв‘язати ці номера як у школі не з інтернету пж.

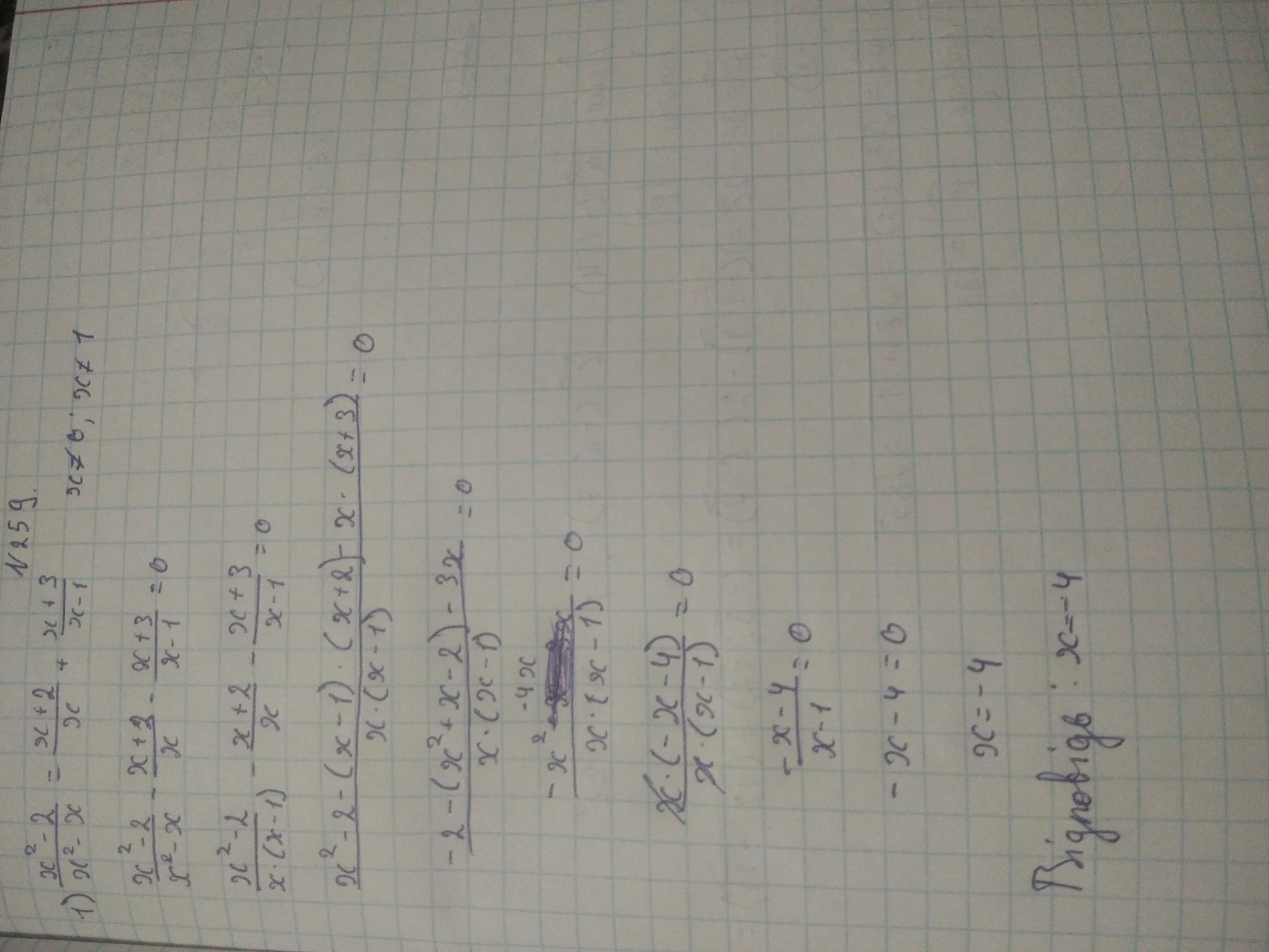
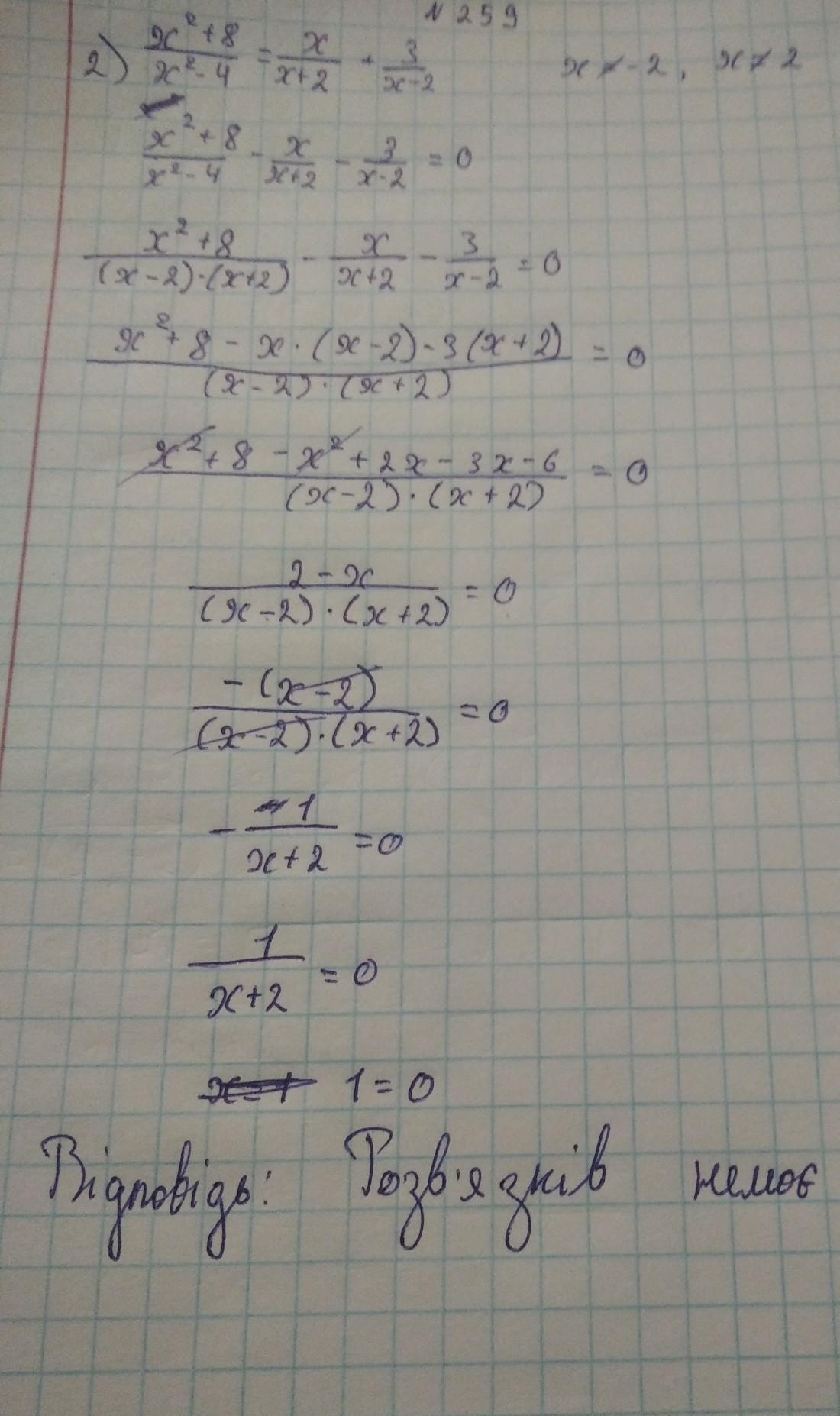
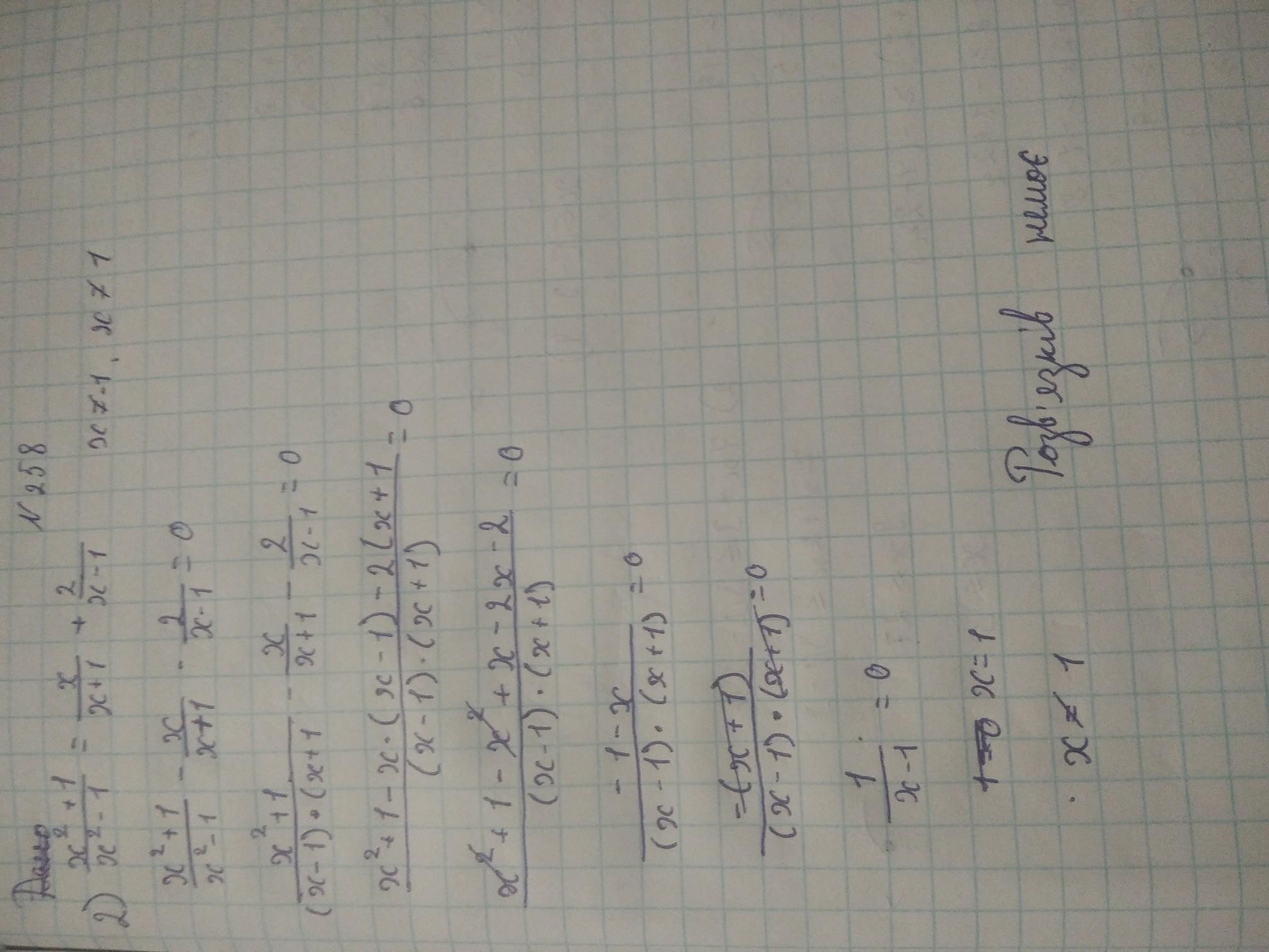
№258(2) і №259

8 клас

Приложения:

Аноним: скину розв’язок в інст @mathematic_89

Ответы

Ответ дал: Dinshiiiik
1

Объяснение:

Зробила як змогла

чи правильно чи ні не знаю

робила по пам'яті

Приложения:

p7946048: Дякую!!! це те що мені і треба! Ти молодець.
Вас заинтересует