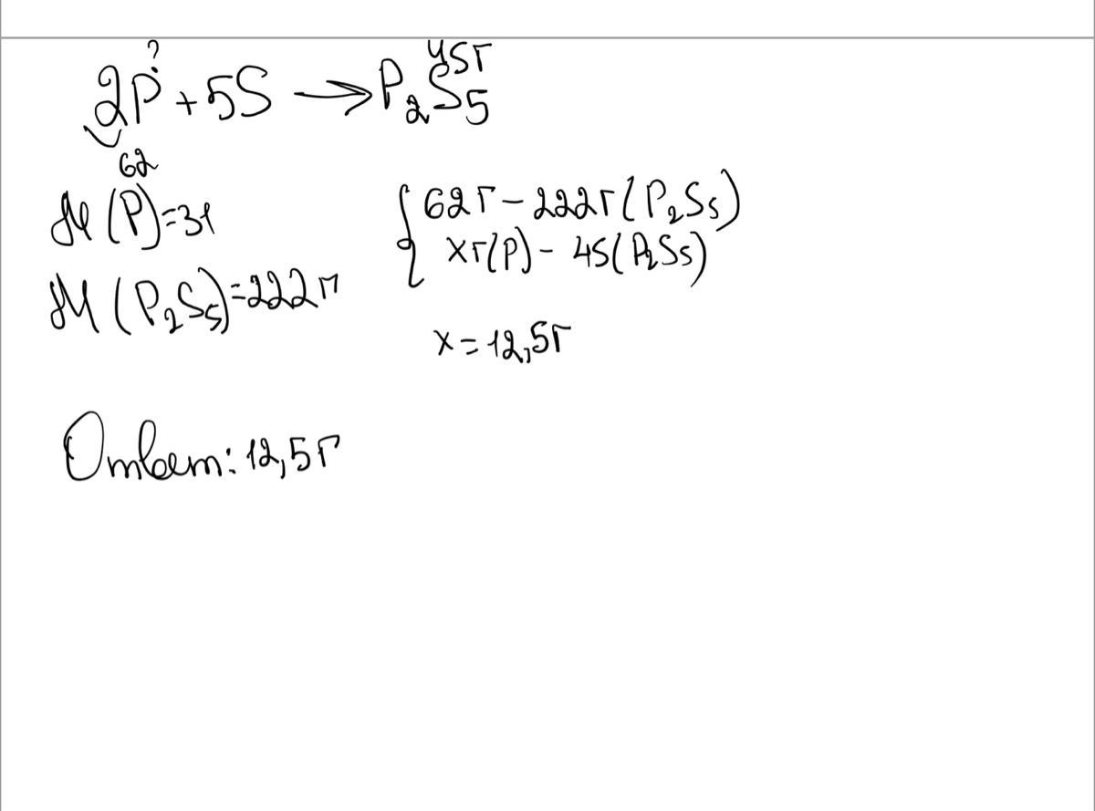
Сколько фосфора необходимо взять для реакции с серой , если известно, что при этом образовалось 45г сульфида фосфора
Ответы
Ответ:
Для решения этой задачи нужно знать соотношение между молью серы и молью сульфида фосфора. Известно, что сульфид фосфора образуется при реакции 1 моли серы с 1 молью фосфора. Для рассчета количества фосфора, необходимого для образования 45 г сульфида фосфора, нужно использовать молярную массу сульфида фосфора.
Молярная масса сульфида фосфора (P2S5) состоит из массы двух атомов фосфора (P) и пяти атомов серы (S). Масса фосфора равна массе одного атома фосфора (31.0 г/моль) умноженной на 2. Масса серы равна массе одного атома серы (32.1 г/моль) умноженной на 5.
Масса фосфора = 31.0 г/моль * 2 = 62.0 г/моль
Масса серы = 32.1 г/моль * 5 = 160.5 г/моль
Теперь, для нахождения молей фосфора, необходимо разделить массу сульфида фосфора (45 г) на молярную массу фосфора (62.0 г/моль).
Моль фосфора = 45 г / 62.0 г/моль = 0.725 моль
Таким образом, для образования 45 г сульфида фосфора необходимо взять примерно 0.725 моль фосфора

